A lot of people have been asking about this, so we turned around a FOIA request on Clifton Allen Blackwell, the guy that threw acid on another man, questioning his right to be in the country.
According to TaskandPurpose, which quoted his mother who is a veteran and psychologist – his PTSD is to blame.
Speaking to the Milwaukee Journal-Sentinel, Backwell’s mother stated that her son had been under the care of the Milwaukee VA Medical Center for service-connected post-traumatic stress disorder.
“Once you’ve been in the service, you look at the world a different way,” Jacqueline Blackwell, a California psychologist and herself a military veteran, told the Milwaukee Journal-Sentinel. “I don’t know if people can understand if they haven’t been there.”
A Marine Corps spokeswoman, Yvonne Carlock, told Task & Purpose that the service “did not have a record matching the info they provided for the perpetrator.”
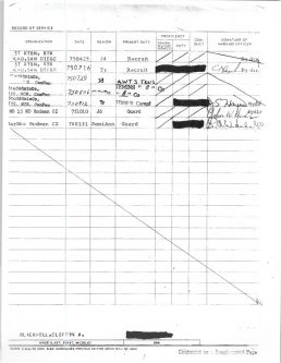
Well, it turns out that there are military records for him and you get to see them here first.
I’ll let you all debate this and come to your own conclusion but I’ll say this – you can get PTSD from a lot of experiences and it doesn’t have to be combat, but his mother seemed to imply combat… and I don’t see any combat.
Tell me what I’m missing.
Task and Purpose published another article titled: “Marine Corps has no record that suspect in Milwaukee acid attack was ever a Marine” which quoted a spokesperson:
But a Marine Corps spokeswoman, Yvonne Carlock, told Task & Purpose that the service “did not have a record matching the info they provided for the perpetrator.”
This could be true if the information provided in the FOIA was for the wrong person.
Then Blackwell’s brother weighed in:
Speaking to the Associated Press, Arthur Blackwell had stated that his brother had served at least four years in the Marines and “was not a confrontational person.”
When reached by Task & Purpose, he reiterated that his brother was honorably discharged after a four-year term in the Corps in “the late 1980s,” where he was deployed to Panama.
Blackwell could not provide additional details regarding his brother’s service.
“He was a pistol champion, I believe, and he earned a Pistol Sharpshooter badge,” he said. “But I haven’t talked to him in 25 years … he’s never been in contact with us.”





Did the “MILITARY FUNCTIONS IN CIVIL DISTURBANCES” training teach him the acid toss method? I would have went with that defense instead of the dreaded ptsd.
Looks like he caught the PTSD from intense staple-fire while admin clerking at Camp Pendleton
His only traumatic action while in the Marines was watching Full Metal Jacket:
https://www.youtube.com/watch?v=G1C7Ms3GofE
“I served in the military and so therefore I’m not responsible for my crappy actions”
Following OIF (perhaps even the Gulf War but it was much shorter), I recall a much greater emphasis on PTSD in the media. As more servicemen/women had prolonged stints in combat zones, it entered into the social conscientiousness much more – not at all a bad thing. I also seem to recall that this was when it became more and more a defense for people’s wrongdoing. I’m 46 so I don’t remember the post Vietnam period – being somewhat of a tyke at the time. Was PTSD defense as much of a thing back then?
Well, I remember. And I don’t recall there being such an epidemic of the PTS of D in the late 70’s. Personally, I think about 75% of the claims are phony. I have had vets admit to me that they claimed it so they could reach a 51% disability so their VA med care is free despite their substantial incomes.
I believe it was Vietnam that led to the media myth of the “dysfunctional, violent veteran,” best depicted in the Stallone movie ‘Rambo.’ If memory serves, that was when veterans started being diagnosed with PTSD. Remember, it has always been with us but under different names over the years. It was ‘Soldiers Heart’ after the Civil War, ‘Shell Shock’ during WW1, ‘Battle Fatigue’ or ‘Combat Fatigue’ during WW2 and Korea. I believe – and someone please correct me if I’m wrong – it was after Vietnam when it became a clinical psychological condition and was called PTSD.
You are correct. I first heard about it in the late 70’s. It was raging among Viet of the Nam vets in the late 80’s and early 90’s. I did a jury trial in 1992 where a psychologist testified the woman suing my clients had it from being stabbed in the chest with a 14 inch carving knife.
Bill Mauldin, the famed WWII cartoonist who created the Willy and Joe characters, wrote a back called “Back Home” in 1947. In the book he discusses the stereotype of the disturbed veteran. “Plus ca change, plus c’est la meme chose”.
All three of his books are still worth reading today.
Hey those scalding hot mess trays can mess up your life
This is the most excitement in Milwaukee since Army veteran Jeffrey Dahmer was captured in 1991.
Ex-Marine Blackwell may have encountered rejection by ladies of negotiable virtue in the Canal Zone which continues to fuel his hatred of immigrants from south of the border. Hopefully he’ll be locked up and sharing quarters with some Latino gang members in the Greybar Hotel.
“ladies of negotiable virtue”
STOLEN!
Here’s hoping that his cellmate is either MS13 or Latin Kings.
I’d love to know what he claims caused his PTSD. I’m fairly sure that SoCal in the mid/late 1970s wasn’t really considered hardship duty. Also, prior to Noriega taking over in Panama the Canal Zone was reputedly a very good duty station.
I’d also love to know why he left active duty with less than 3 yr 2 mo active duty – and less than a year after returning from OCONUS.
I’m wid y’all on this myself on the cause of his PTSofD. USAF Ret may be on to something with the staple-fire in admin. But then again, I believe charles w had control of all staplers then. A severe paper cut is always a clear and present danger when you riding a desk. Had an ex bnl that was a marine (sic) in Panama during that kinda sorta same time frame. He stressed out on getting his dope back to the barracks and not pissing hot. And as always, working the serving line on mess duty is a concern for steam curled eyebrows, not to mention dishpan hands. CCR is onto another theory too in that Mommy’s boy, Clifton Allen Blackwell, prolly had difficulties scoring with the local ladies. Cliffy seems to be letting Mommy cover for him in his older age. Maybe all of the above.
At the very least Clifford Allen Blackwell had an opportunity to be a decent productive member of society and blew it. He could have served honorably in the US Marine Corps when a lot of people wouldn’t. His enlistment times leave me with the notion that he may of had an early discharge for some reason or another. Sh^tbaggery of a high enough degree but not too high of a degree? Let the punishment fit the crime. Have the victim of his stupidity throw a little acid in his face.
And to answer FuzeVT’s question on the PTSD of the Viet of the Nam Times. Hell man, didn’t you know that EVERYBODY that served during those Times was a Baby raping, drugged out killer?
This clown is simply using self diagnosed and non-existant PTSD as an excuse for being a bigoted asshole loser. Blowing hoot on a piss test – which I suspect is the reason for his shortened enlistment – does not give one PTS of the D. I’ll wager that any research into his background will show that he’s always been a bigoted asshole loser.
Ya think? (smile)
Piss Tests weren’t being used for punitive measures. plus he got out a L/Cpl.
Looking at his record I see nothing that much out of Whack… Bit of Holding time after Boot to go to ITS, Then about A year of Barracks Duty, Then a short Stint as a Clerk ( Probably snatched up by HQ Bn when checking in) then finished out in 1/5.
No mention of reduction Pro/ Cons, Periods of UA or Confinement.
2 years and 10 months is weird length of enlistment. IIRC you could enlist for 2 years then. He could had extended 10 months, or there could have been an early out program.
Probably an Average at best Marine who lied about service. Just an ultra right wing fuck who drank the Kool-aid about all brown people being illegals and sucking off the system.
Nothing a couple years in the pen won’t help sort out.
Just curious; what the heck is “barracks duty”?
When one is between assignments, and on administrative hold. Sometimes known as “casual duty”. I spent some time in that status; once, awaiting orders sending me to Fort Wolters, Texas, for W.O.F.T., and once, after arriving at Fort Wolters, Texas, while waiting for assignment to a training flight. (No, I did not complete the program. I wound up going to Fort Gordon, Georgia for M.P. training after withdrawing from the program. In SEAL terms, I “rang the bell”.)
Barracks duty is the common term for security at a naval facility. Such as Marine Barracks Subic Bay. Provides security for special weapons. Or used to.
Similar to Sea Duty
Formations…….
Nothing but formations….
Trying to forget my formations…
apologies to Andy Williaims
Those cigarette butts ain’t going to police themselves.
Nor will the dandelions and daisies ever extricate themselves from the PT Field!
[facetious]
There may be a silver lining for all non-combat veterans — this clearly proves that the horrors one experiences on mess duty do not compare to dodging bullets.
He clearly went on mess duty and never returned as the same Clifton Blackwell his mom knew and loved.
[/facetious]
Mess duty not hazardous ?????
Perhaps some good study time on the concept displayed in “Attack of the Killer Tomatoes”….
Exactly.
“Mess duty is akin to combat.” – Clifton Blackwell
“Acting is like fighting in Afghanistan.” – Tom Cruise
It all makes perfect sense to me now.
Once you’ve been in the service, you look at the world a different way – shrink’s view
BS. What a lame excuse for ‘take no responsibility for own actions’.
I do not recall ever looking at the world any differently after leaving the Navy than I did before I joined the Navy.
Then you haven’t looked at the world in a gee-I’d-like-to-throw-acid-in-someone’s-face kind of way? 😉
I once knew someone that was so prissy and annoying about what they ate (i.e. organic only, nothing from the nightshade group, etc.) I just wanted to wrestle them to the floor and shove a Twinkie in their mouth. It’s hard to say if I got that from the service, though. Does that count?
Control freaks can be that annoying, so yes, it does count.
I will agree with the Psychologist that you see the world in a different light…but in a good way not negative. I have a lot more respect for the Afghanis and their plight (especially the minority tribes).
I am less impressed with the Iraqis, and the Pakistanis. I fully understand the politics that go on in the rest of the Middle East, and can see why things change slowly there. Not so much China, and Pacific region…because I did not go play out there. Similar thoughts on the rest of the Americas, except for Canada (since they come play with us quite often). My disdain for Europe is mostly because how liberal they are becoming. I liked my time there and my wife is from there, so we will be going back.
My wife is also European. She recently visited her hometown in Germany. When she got back she said she felt that she had visited a foreign country. She told me, “America is my home.”
I tell you I have a hell of a time out here on my hometown Main Street trying to get these civilian pukes in step. They just don’t fucking get it!
What am I doing wrong?!?!?
Copious amounts of alcohol help…for you, not them.
I sure look at it differently. I developed a whole new appreciation for the finer things in life; indoor plumbing, *hot* water on demand, indoor plumbing, AC & central heat, etc.
Tonight when I snuggle up in bed with my soft pillow and unlimited supply of soft, clean, blankies I will listen to the wind outside in the 20-30 degree temps and give thanks.
Ditto.
Doing Mess Duty sure messes up a lot of people… didn’t realize that teh PTSD was one of the end results.
PTSD from Mess Duty. SWEET!!! Looks like should start prepping my claim for the VA.
I did get hit in the head with the handle from the milk dispenser while doing mess duty in boot camp(that heavy solid stainless steel piece that pinched off the 5 gallon bag of ‘milk’). Concussion and 2 days light duty. No more pot shack for this recruit.
Of course that was 34 years ago so the effects might have faded….
Diagnosis: Late onset PTSD, presumptive; mess duty.
That’s gotta be worth 50% if it’s played up right.
I’m just in it for the license plate and close parking spots
Can I claim PTSD for having to listen to sailors whine about this-that-the other while they were working?
If you go to this site and type in Clifton Blackwell’s name, you can see his recent MugShot (different than the picture posted) as well as information on his Bail, what he has been charged, his booking number etc. etc:
http://www.inmatesearch.mkesheriff.org/
This site provides a 2 page document that lays out the detailed criminal complaint against Clifton Blackwell:
https://drive.google.com/file/d/1uytDbjrZvOd8QTNlJl67J-x-NaBJFK7S/view
Interesting information from this site on Blackwell:
https://heavy.com/news/2019/11/clifton-blackwell/
(1) “Blackwell has a felony criminal history. A 2007 article in the Eau Claire Leader-Telegram obtained via newspaper archival searches reported that Blackwell went “missing” from a sentencing hearing in a felony case that year. He was convicted of “pointing a firearm at a hunter during a citizen’s arrest during deer hunting season” the previous year, the newspaper reported at that time. The newspaper said that Blackwell, who lived in Glen Flora, Wisconsin for a time, also went by the name “Dr. Stephen A.E. Pflughoeft” and, according to court records, “Pflughoeft, Stephen A Ethelmer, Dr.” (Pflughoeft appears to be a family name tied to his mother per a family obituary.) Blackwell was 49-years-old at the time of that case. Stephen Ethelmer Pflughoeft of Glen Flora has a patent for an engine/pump design.”
(2) “His brother stated that Blackwell was “stationed at the Panama Canal around the time Manuel Noriega was captured and removed in 1990,”
(3) According to Wisconsin Court Records “Clifton A. Blackwell was convicted of felony false imprisonment and misdemeanor intentionally pointing a firearm at another person in Rusk County, Wisconsin. The charges were filed in 2006. Rusk County is a rural area about five hours north of Milwaukee, in the northwest section of Wisconsin.”
Here is the Court Document:
https://wcca.wicourts.gov/caseDetail.html?caseNo=2006CF000095&countyNo=54&index=0&mode=details
“A competency hearing was held in that case but Blackwell was found competent in 2007, those records state. However, in 2008, he was deemed not competent to stand trial and was ordered committed. Two months later, he was found competent again. In 2011, his probation was revoked in the case. “Def has 379 days of credit as of this date, Judge will accept recommendations of DOC, sentence will be credit for time served, to be released from custody today,” the online records say. In 2013, there was a judgment for an unpaid fine in the case.”
Continued on next line so that AW1Ed does not put me in Admin Moderation Jail.
*smile*
More like let you out of Moderation Jail.
And here we are again..
*grin*
I’m standing in the corner at Parade Rest to the US Navy for failure to count the links.
*grin*
Bad ninja.
Army, especially KoB, please forgive me that the Navy had to correct my Boo-Boos again.
Guess I better be good so that we can get ready for the upcoming BIG Game in December.
And of course, the other BIG game this weekend. Heck, Laura Ingraham was wearing an Alabama pin last night on her show and commented: “Roll Tide”.
I know KoB and Comm Center Rat will be rooting for the Crimsom Tide.
Next mission is to get AW1Ed to leave the Dark Side and become a Black Knight Fan.
I can dream, right?
😂😁🤣😃😅😉😆
gobn/rtr/hbtd
No apologies needed ninja. I understand that since Navy can’t limit the number of points that Army scores, they have to limit some type of number, some where, don’t they?? Right??
Saw a blurb on the innerwebz showing Saben presenting President Trump with a Tide #17 jersey. Wonder how much grief will come to both for that?
Roll Tide! Let’s have some Tiger Gumbo.
Tide #17?
https://www.nascar.com/news-media/2019/02/15/darrell-waltrip-1989-daytona-500-mike-joy/
If you go to this site and type in Clifton Blackwell’s name, you can see his recent MugShot (different than the picture posted) as well as information on his Bail, what he has been charged, his booking number etc. etc:
http://www.inmatesearch.mkesheriff.org/
This site provides a 2 page document that lays out the detailed criminal complaint against Clifton Blackwell:
https://drive.google.com/file/d/1uytDbjrZvOd8QTNlJl67J-x-NaBJFK7S/view
Interesting information from this site on Blackwell:
https://heavy.com/news/2019/11/clifton-blackwell/
(1) “Blackwell has a felony criminal history. A 2007 article in the Eau Claire Leader-Telegram obtained via newspaper archival searches reported that Blackwell went “missing” from a sentencing hearing in a felony case that year. He was convicted of “pointing a firearm at a hunter during a citizen’s arrest during deer hunting season” the previous year, the newspaper reported at that time. The newspaper said that Blackwell, who lived in Glen Flora, Wisconsin for a time, also went by the name “Dr. Stephen A.E. Pflughoeft” and, according to court records, “Pflughoeft, Stephen A Ethelmer, Dr.” (Pflughoeft appears to be a family name tied to his mother per a family obituary.) Blackwell was 49-years-old at the time of that case. Stephen Ethelmer Pflughoeft of Glen Flora has a patent for an engine/pump design.”
(2) “His brother stated that Blackwell was “stationed at the Panama Canal around the time Manuel Noriega was captured and removed in 1990,”
Continue:
(3) According to Wisconsin Court Records “Clifton A. Blackwell was convicted of felony false imprisonment and misdemeanor intentionally pointing a firearm at another person in Rusk County, Wisconsin. The charges were filed in 2006. Rusk County is a rural area about five hours north of Milwaukee, in the northwest section of Wisconsin.”
Here is the Court Document:
https://wcca.wicourts.gov/caseDetail.html?caseNo=2006CF000095&countyNo=54&index=0&mode=details
“A competency hearing was held in that case but Blackwell was found competent in 2007, those records state. However, in 2008, he was deemed not competent to stand trial and was ordered committed. Two months later, he was found competent again. In 2011, his probation was revoked in the case. “Def has 379 days of credit as of this date, Judge will accept recommendations of DOC, sentence will be credit for time served, to be released from custody today,” the online records say. In 2013, there was a judgment for an unpaid fine in the case.”
“A 1989 article in the Marshfield News-Herald said Clifton A. Blackwell, then 30 of Glen Flora, forfeited $74 for non-registration of a vehicle. A civil case involving Blackwell and his mother as petitioners show he once had a California address”:
https://wcca.wicourts.gov/caseDetail.html?caseNo=2015CV000108&countyNo=54&index=0
SoUnDs DoWnRiGhT BeRnAtHiAn!
GD:
😂🤣😅😆!!!
Good One!
So his brother is lying to help him play the PTS of D card. Cuz in my white privilege math 1978 is not 1990. The brother also lies when he says this turd served a four year enlistment.
Who is this guy, Mahmoud Villalaz?
The article says Hispanic, but that name is obviously Muslim.
There are lots of Muslims in Latin America:
https://www.newsmax.com/ozsultan/isis-latin-america-border/2018/10/23/id/887635/
And there have been for centuries. There was a Moorish explorer by the name of Estevanico (aka Mustafa Azemmouri) who accompanied Alvar Nunez Cabeza de Vaca in the exploration of Texas and Northern Mexico and the search for the Seven Cities of Cibola. There have also been many immigrants from the Middle East in more modern times. Hell, you can see it in Mexican food; a Taco al Pastor is an adaptation of Shwarma and you can find Schwarma-like dishes sold as a “Taco Arabe” (Arab taco) in Mexican restaurants. Dammit. Now I want some tacos!
Comments from his Mother:
“According to his mother, Blackwell has been under the care of the Department of Veterans Affairs in Milwaukee for post-traumatic stress disorder stemming from earlier service in the Marine Corps.”
“Jacqueline P. Blackwell, 83, of California, a psychologist and retired administrator with the San Jose Unified School District, said her son “needed to have some help and decided to move to Milwaukee” to get it. She said she had not been in touch with him recently and had not heard anything about his arrest.”
“I was comfortable that he was getting good care with the VA,” she said.
“Once you’ve been in the service, you look at the world a different way,” she said, noting she and her husband had also served in the military. “I don’t know if people can understand if they haven’t been there.”
“Blackwell spent at least some time in northern Wisconsin. In 2006, he was charged in Rusk County with two counts each of pointing a firearm at someone and false imprisonment.
https://www.jsonline.com/story/news/crime/2019/11/04/responding-acid-attack-mayor-barrett-cites-anti-immigrant-rhetoric/4155787002/
I did three months mess duty followed by three months coop cleaning. After that I washed and fueled a hell of a lot of helicopters before I could get into PR School I guess that explains ny fucked outlook on life.
The following was put out by the Associated Press a few hours ago:
“MILWAUKEE (AP) — A military record-keeping agency has confirmed the military service of a white Milwaukee man suspected of throwing acid on a Latino man.
The National Personnel Records Center confirmed Clifton Blackwell’s service in the Marines from 1975 to 1978 in response to a request from The Associated Press. A Marines spokeswoman said earlier this week that a record of Blackwell’s service couldn’t be found.
The 61-year-old Blackwell is charged with first-degree reckless injury as a hate crime in the Nov. 1 attack. The victim, Mahud Villalaz, said Blackwell confronted him and asked “why did you invade my country?” Villalaz is a U.S. citizen who immigrated from Peru.
Blackwell’s mother, Jacqueline Blackwell, had noted her son’s military service in telling the Journal Sentinel that her son had sought treatment for post-traumatic stress.
Veterans Administration officials declined to discuss any treatment of Blackwell, citing privacy.”
This sonovabitch was stationed at Rodman NS in the Canal Zone. Rodman had to be one of the easiest assignments for anyone. I had the O clubs at Howard AFB (adjacent to Rodman) and across the canal at Albrook AS. We used to use the Rodman Club to get away from my own. F-in Rodman and he has PTSD.
And of course, this is all President Trump’s Fault (as told to CNN by the Mayor of Milwaukee).
At least they can’t blame guns.
(sarc on)
“Milwaukee Mayor Blames Trump After Acid Attack On Hispanic Man”
https://thehill.com/blogs/blog-briefing-room/news/468894-milwaukee-mayor-blames-trump-after-acid-attack-on-hispanic-man
“The mayor of Milwaukee is blaming President Trump following an incident where a Hispanic man allegedly had acid thrown in his face.”
“Milwaukee Mayor Tom Barrett said the incident was “obviously” a hate crime and called it “simply wrong.”
“The mayor said the president’s rhetoric on immigration is used to justify violence against Hispanic people, CNN reported.”
“My concern is that more and more people feel that because the president is saying it that this is OK. It’s not OK, it’s horrible,” Barrett said, according to CNN.”
“We know what’s happening. Everybody knows what’s happening. It’s because the president is talking about it on a daily basis that people feel that they have license to go after Hispanic people, and it’s wrong,” Barrett said.
“He said in a media availability recording he can’t directly connect this incident to Trump because he doesn’t know what was on the attacker’s mind. But he called the incident “a manifestation of that anger” toward immigrants.”
“This anger towards people from other countries is being fed by our president and by his followers,” he said in the recording.”
You can hear the Mayor’s comments on this Video:
Projection. It is always everyone else’s fault but the perpetrator. And it does not help that Blackwell’s Mother is enabling her son’s poor behavior.
It’s called the BLAME EXCUSE.
https://www.youtube.com/watch?v=31A5dX87Wkg
The only sure fire cure for TDS and acute progtardism is the hemp cure.
So, we have to get the Donks stoned? California would seem to refute that.
Oh, wait…. (grin)
IMHO TDS is actually Trump Acceptance Resistance Disorder (TARD) and many who have it let that run their lives making them Trump Acceptance Resistance Disorder Operatives (TARDOs), some of which let thamselves become Really Exceptional Trump Acceptance Resistance Disorder Operatives (RETARDOs), and IMHO Milwaukee Mayor Tom Barrett is a sterling RETARDO!
My hemp cure will fix him right up. After my treatment he will no longer be afflicted.
Legalize Hemp!
After the service you look at things a different way. Well, I should hope so. After not serving you should also look at things a different way. It used to be called growing up. I guess in today’s safe space infested world one should see things in their 60’s and beyond the same way as one saw things at 18.
So then according to his Momma and the paid mouth (*OOPS!*, Headshrink) Mess Duty made him a mess?
Dear mommy,
Can you say, “enabler”?
Cut the fucking cord already.
NHSparky done hit the nail on the head.
she needs to “pop her titty out his mouf” as Major Payne said….