
Someone sent us their work on this Jerry Lopez fellow. He claims to have been a Recon Marine in Vietnam, that he was awarded the Navy Cross, the Silver Star, the Navy and Marine Corps Medal, a Bronze Star for Valor and four Purple Heart Medals as an 0369 Infantry Leader. He wears the rank of a Gunnery Sergeant (E-7), he also claims that he was disabled due to his war injuries;
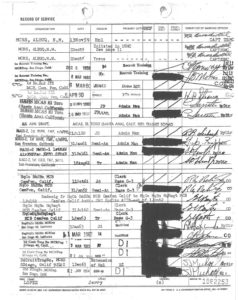
Here’s the forgery that he shows around;
He also claims SEAL Training.
Well according to his records, he did serve in Vietnam as an Admin Clerk in the Headquarters and Supply Company of the 10th Motor Transport Battalion, May 1968 – July 1969. In fact, during the 14 years that he served in the Marine Corps, all his time was spent as an admin clerk and a Drill Instructor. His records do show one Purple Heart and a Combat Action Ribbon – but I wonder how an admin clerk in a headquarters company of a Motor-T unit could get a Purple Heart and a CAR. Actually, I don’t wonder;
But there’s no SEAL Training, no Recon Training, no parachute training, no scuba training, no Navy Cross, no medals whatsoever for valor. He left the Marine Corps as a staff sergeant (E-6) not a gunnery sergeant (E-7).








Asshole.
Blown out pink sock. This guy could jump rope with his colon by this point. Legit staff sergeant with real legitimate combat service (I don’t always deride my pogue brethren), and awards to be proud of in front of your grandkids, then you smear it all with shit and light it on fire like this? Motherfucking fucktarded fuckbag.
You served. You led. You trained. Then you puked all over you legacy. At least he got busted before his family had to change his headstone.
All true. He did enough and embellished anyways. The worst kind of poser.
No jump school? Well how did he get the 386 blasts cited in his records, OJT? And the Iron Mike trophy? /s
I knew guys with 20 years in airborne units who had less than 200 career jumps. This guy needs to do a lot more research before he opens his fucking mouth.
He was an Admin Clerk. He could type up anything he wants on his paperwork.
E-6… E-7. What difference at this point does it make?
He has many, many USMC friends on FB. Do they know the truth about his service record, or are they a bunch of phonies too? He served honorably for so many years, but I guess its easier to be a retroactive hero instead doing it in real time.
BUT, But, but, “Gunny” sounds so much better than “Sarge”.
Well, gosh; he could have added two more rockers and been called “Top”
As a USMC Staff Sergeant, I would throat punch any asshat that called me “Sarge”.
Great case for local FBI Field Office.
Sporting a Service Cross? That’s worthy of a dick punch right there.
So, how did he get his Purple Heart?
I know of a cook that got one legit, indirect fire on his work area, but somehow i suspect this admin hero just put it in his ERB the day before he got out.
All it takes is for one rocket or mortar to hit a hootch. My company in Lai Khe lost five supply clerks and a mechanic in May ’68 to a 122mm rocket and none of them had ever left the base camp. Later, another 122 wounded one of my mechanics who did go out frequently in support of armor and mech units. He was wounded while on perimeter defense duty, though. Always said going out to the field was safer than staying in base camp.
He broke his taint… at the Blue Oyster when they were giving out free chocolate dildos to all “customers”.
They got one free with the purchase of a juicy banana or squirting sausage.
Paper cut? They can be quite nasty.
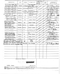
As a side note it looks like he had 1 day unauthorized absence 721002 and back to duty 721003 while Chief Clerk at the MP Co at Camp Pendelton
You may be getting him confused with John F**kin’ Kerry.
Two guys in organizations we worked with on Camp Victory in Baghdad got one. Both occurred on base due to IDF.
One guy received a minor shrapnel wound as he was exiting the DFAC. The second was in the latrine – I’m pretty sure from the way the story was related to me he was on the “throne” at the time preparing to do some paper work. (smile)
IDF doesn’t care who you are or what MOS you hold. It’s a very equal opportunity threat.
I’ve heard from just about every non-combatant service member in the Gulf War that they were almost hit by a SCUD. I’m baffled how 600,000 people occupied a GP Medium in Dharan. I’ve never seen a GP Medium High Rise.
The chances of meeting one of the 97 casualties in your life is roughly 0/0/.
Yef: Had four CSS troops (Army, Navy, Air Force and Marine) who were wounded in Iraq when the building they were working in was hit by the enemy.
Cocksucker.
In the open…Ballz Deep
Booooooooooooooooooooooooooooooooooooooooooom!
Idiot.
He was there during the Tet offensive. Started the end of January 1968, ran until the end of September. He arrived there in May. What is his real problem?
Gasbag.
Ain’t no phony like an old phony.
Just another old, gnarly turd.
Another old tool/fool who has combat service and a set of documented decorations of which he should be proud (if they’re all legit, of course). And he decides to crap all over that mostly honorable service. (I say mostly because there is a 1-day UA listed in his record of assignments. I’m guessing that got him denied reenlistment during the post-Vietnam drawdown.)
Sad. Just freaking sad. AnD iT sOuNdS kInDa FaMiLiAr, ToO.
While attached to 11th Motors (in DaNang), May 68 to Jun 69 he had ample opportunity to receive a PH and CAR. The BN had plenty of patrolling, Rapid Response force, rockets, mortars, mines. Why wouldn’t that be good enough for him? He certainly did his part. They also supported a number of operations while he was there. I’d like to see his Combat History Page, only the Awards portion is attached.
Link to 11th Motors Command Chronologies for Viet Nam below.
http://www.recordsofwar.com/vietnam/usmc/11thMT_Bn.htm
Refreshing to see no Floridian Seals this Sunday morning.
We “heard” him all wrong, he was actually a Raccoon Maroon! 🙄
Just another Tupperware Seal!
Oh. Hell. No.
That actually is a very appropriate response!
Hey Jerry Lopez… you best unfuck yourself Marine!
Amazing to think he was preaching at recruits in training day and night about “integrity” when he was a DI.
lily: As Hondo previously noted, SoMeOnE eLsE was once a DI as well…🤡
One of my AIT DI’s ended up on TAH. I was surprised but then again…٩(^‿^)۶
https://www.azuse.cloud/?p=59142
Why do all the USMC posers pick Gunny as their rank of fake? I always thought that master sergeant had a nicer ring (and higher pay grade) to it.
He served an honorable term and left as a staff NCO. Then he had to go “full gunny”.
Btw, you’d think that a clerk would be able to make a more passable forgery.
I’d say that GySgt R. Lee Ermey’s ongoing presence in the media and entertainment world probably has a lot to do with the USMC posers’ fascination with ‘Gunny’.
Gunny Highway from Heartbreak Ridge was pretty bad ass too. Jerry Lopez reminds me more of PVT Pyle now that he pissed all over his service!
Like those phonies that became self proclaimed Lieutenant Commanders/Majors in the SEALs after Richard “Dick” Marcinko’s Rogue Warrior series. 🙄
Ithought he was an Staff Sergeant.
Wrong again, Yef.
http://www.marines.mil/Photos.aspx?igphoto=158450
‘Apr 13, 2009
Retired Gunnery Sgt. R. Lee Ermey talks with 1st Lt. Andrew Hietpas (right), the executive officer for Company C, 1st Tank Battalion, and Maj. David A. Bardorf, the executive officer of 1st Tanks April 13. Ermey filmed part of an episode for his new show called “Lock and Load,” with the Marines of 1st Tanks.’
http://americanmilitarynews.com/2014/05/gunny-ermey-hosts-tv-series-saving-private-k-9/
‘[…]
Ermey was medically retired as a staff sergeant after 11 years in the Corps. The Commandant of the Marine Corps awarded him an honorary meritorious promotion to Gunnery Sergeant in 2002.
[…].’
It’s the coolest rank next to Gunner with the bursting bomb.
I see he also claims he went to “Navy SEAL UDT Course” as a Marine. How many Marines have completed BUD/S?
Um … None. Marines have their own SCUBA /Dive course in Florida.
Marine EOD goes through school in Florida as well ( Elgin AFB?)
While Marines? No idea. A few? None? I’ve heard stories of cross training from the early days of SOF though. I can’t speak with any authority, I’m nowhere near an NSW Historian.
AFTER they were Marines? More than a few. I know 3 personally who left the USMC, went USN, and became SEALs. There are more than 3 for certain, I just don’t know them all personally.
1 of them is in Valhalla. FW&FS Shelly.
http://www.navy.mil/submit/display.asp?story_id=45140
I will give him the benefit of the doubt for the CAR and Purple Heart.
In 1971 I was present for the monthly awards parade at MCAS Beaufort when a SSgt was awarded his 2nd through 44th Air Medal. My father told me that a large number of Staff NCOs in what normally would be considered mundane billets in 1st MAW found ways to get into the fight. In this Marine’s case he volunteered for duty as a helicopter door gunner.
It is as conceivable to me that this Lopez dirt bag could have volunteered to man a gun tub on a convoy, or could have been dinged pulling perimeter defense duty or from indirect fire just as easily as having good typing skills and updating his own records.
“It is as conceivable to me that this Lopez dirt bag could have volunteered to man a gun tub on a convoy, or could have been dinged pulling perimeter defense duty or from indirect fire just as easily as having good typing skills and updating his own records.”
Would have to mark me down as a big “No” in believing this.
His track record is being a lying douche rocket. Pretty sure he didn’t just get that way recently.
Another thing stands out is that he retired at 20 as a SSgt in a field that isnt that hard to get promoted in.
Also, as a rule of thumb, SSgts don’t get run up for being UA for a day unless they are shit-bags. It looks like his 1st UA resulted in them transferring him out as well.
He’s an embellisher now and probably pen fucked his srb then
He’s a discount bin version of Larry Gugle.
Don’t think he retired, JAOD. His FOIA reply seems to say he got discharged as an E6 at about 13 years 8 1/2 mo total active duty service (he had a break in service of a bit under 2 weeks and 1 day of UA).
As I said above, I’m thinking his 1 day UA/AWOL after he returned to CONUS from Vietnam caught up with him during the post-Vietnam drawdown and made it impossible for him to reenlist, either by bar or USMC policy. Or maybe his command had decided he was useless and simply wouldn’t sign off on his reenlistment.
The most surprising thing about this whole post was finding out that the Cuban Missile Crisis occurred in 1963.
That’s what it says on the poster, so it must be true./s
Claw: Now THAT there is funny!
😂🤣😀😁😃😅😄😆
Whoever wrote 1963 is definitely not a Jeopardy contestant…😉
Spent most of his time in the S-1 shop, huh?
This guy is a piece of shit.
He must’ve been a shitty admin clerk considering he didn’t know what the RE-4 reenlistment code means, but he included it on his DD215 (item 15).
Fucktard.
To add…
He must’ve attended the Forgin’ Frank Visconti School of Forgery since the fonts on his DD214 and DD215 change.
Loser.
You’d think this guy, with all his admin skills would use the same FONT throughout the 214. Holy shit, this guy changed the font about 5 times on his IBM selectric for this legendary tardery. Quite impressive.
The older we get, the better we were.
WRT the CAR, I don’t know how strict the Marines are on CAR eligibility, but I have personally seen Army senior NCOs who were awarded the CIB and who merely polished a chair with their butts while in Afghanistan.
When I mentioned it to someone in S1, I was told on the down low that in their CMF (18-series), having a combat deployment with no CIB is a career killer, so they all get put in for a CIB whether they trade shots with the enemy or not.
I’m not an S-1 type so I’ll defer to those that are, but my recollection is that the CIB could be awarded in “blanket” form, IOW, publish one order stating that Effective XX/XX/20XX, the following individuals are awarded the CIB” followed by a list of names.
If the CAR was awarded the same way, I could see Lopez having his name added to the “blanket orders” list which means the CAR is technically “legit” in the sense that it was legitimately awarded.
As to whether it was EARNED, we would have to know someone who served with him to know that.
Either way this is yet another inexplicable case of someone with a perfectly respectable military record taking a big steaming dump on it with a stupid lie.
We had an E-7 who was assigned to our Brigade HQs as a career SDNCO. He deployed to Desert Storm and pulled radio watch in the Division G-4 shop. When we got back to Garlstedt, he was wearing a CIB and he went back to one day on, three days off as an SDNCO. I’m sure there were some fierce fire fights in the G-4 tent.
Jonn: I don’t doubt it for a second. And while such awards are “legitimate” in the sense that they were legitimately awarded by the proper authority, you have to think that every time the soldier pins that badge on, HE is going to know it was a “gimme” and not something he legitimately earned, even if nobody else knows.
Kind of reminds me of the guys who would get “foreign” jump wings at Fort Bragg. Drive out to Ste. Mere Eglise DZ in your POV, put on a hollywood rig, jump a Twin Otter or Casa 212 and have a German, or Canadian, or Belizean, officer (attached to USASOC or USACAPOC) sign off on the manifest and orders and it qualifies as a “foreign” jump.
Technically “legal” because the Army says it’s legal, but again, every time you pin that on and someone asks “So, you jumped over in Germany/Canada/Belize, huh?” you’re either going to have to (a) tell the truth and look at the dumbstruck look on the listener’s face or (b) make up a lie.
4 PUCs?
Not unless he was on the USS Parche for about 20 years.
They’ll have some work to do. Hopefully they’ll be more effective at it than we were.
https://youtube.com/watch?v=xb8fLFd6Ufw
Gaddammit… Wrong thread, sorry