
The folks at Military Phonies send us their work on the strange case of Wilfred Henry Belanger, known locally as Butch Belanger, the postmaster in Scotch Plains, New Jersey. Butch claims to be a retired Naval officer and commander of SEAL Team Six with 21 years of service;
So here comes the strange part; Wilfred did have military service as a Recon Marine for nine years, according to the National Personnel Center;
It looks like he even graduated from Army Ranger School in addition to being a Recon Marine, but he chose to be a SEAL team commander rather than boast about things he had actually accomplished.
The Navy said “Who?”
I don’t explain ’em, I just report on ’em.











Oh, just let me get out of the way while you guys trash him.
I’ll be over there in the refreshments tent.
If anyone can get him to ‘splain this nonsense, let me know. I mean, I get it with that other person who shall not be named here, but not this roll of cut-price generic TP.
Let me jump in here rather than go to the end of the line. The answer is actually simple and understandable why a Marine would claim to be a Sailor. It was the pressure of the constant companionship of his two road guards and Cadence counter that caused the crisis. Lot of pressure on Marines to have that, especially on their honeymoons.
I don’t see any Forecon time. Looks like all Bn/Regimental Recon. I also don’t see him getting his bubble. I wonder if he was NPQ’d from diving duty for some reason.
Dunno why he needed to go where he went with the lies. FFS
Coffee, tea or whiskey?
You are an angel….Coffee plz. I had the whiskey last night.
Sun’s over the yardarm SOMEWHERE!
Only the best for my friends!
OK, PH, you can have my whiskey … I don’t drink. Why? B/C at one time I DID drink. Know what I mean?
Beer, if you have it, for my horses.
Bring me a ‘sammich from the refreshment tent.
That is all …
Recon Battalion are bad asses in their own right.
Sometimes the difference between being in Recon Battalion and Force Recon is timing and the avaliability of a school seat.
It’s changed since my time in the Corps, but to non-USMC types here’s the difference.
2nd Recon Battalion was part of the 2nd Marine Division. 2nd Recon Battalion had 3 Companies and a HQ Company that provided support. Each Company had three platoons.
In theory this means that for every Infantry Battalion in the Second Marine Division there was a Platoon of Recon Marines who were available to be attached to it.
When Marine Amphibious/Expeditionary Units were formed the ground combat element was a Battalion Landing Team.
The BLT consisted of a Marine Infantry Battalion plus attachments, such as a tank platoon, an Amtrac Platoon, Artillery. Engineers and a recon Platoon from the recon Battalion. While deployed they are under the Infantry Battalion (BLT) commander .
Force Recon is a Company sized unit of Recon trained Marines that does not fall under the command of the 2nd Marine Division. They fall under command of the 2nd Marine Amphibious/Expeditionary Force headed by a general than commands a combination of the 2nd Marine Air Wing, 2nd Force Service Support Group and the 2nd Marine Division.
Force Recon provides a platoon for every MAU/MEU that goes out and falls directly under their Commander.
Recon Bn vs Force Recon:
Basic understandable differences include, are not limited to, can be bantered about until the keg runs dry and are variable during any given years:
Both consist at the platoon level of Reconnaissance Marines and Corpsmen …that’s Amphibious
Reconnaissance btw …often forgotten, but nonetheless important.Beyond the platoon level…fukk who cares?
Recon Battalions provide Amphibious Reconnaissance, limited direct action, Combat Diving, Sniper, Demolitions, OTH, Specialized insertion/extraction including (wet or dry) and airborne capabilities.
Force Recon provides deep reconnaissance and tends to train for more specialized missions such as Dynamic Assault, Demolitions, VBSS, GOPLAT, freefall oriented airborne operations etc.
yes as it was mentioned battalion is a BLT asset, Force the MEU Commander….but things often mix and match and the MEU will also have a NSW det of SEALs and SWCC..I think the CATF owns them though (see previous above platoon level remark)…..but we all end up working together while also maintaining team integrity. I’ve served in both (most SARCs do) but whatever YMMV
One important similarity in Battalion/Force/NSW is they all get gonorrhea
Celer Silens Mortalis
This is one of those inexplicable cases akin to a guy being an F-16 fighter pilot lying about being an F-15 pilot
Makes zero sense
OK I was Aerial Port, (Baggage, cargo pallets, Passengers, whatever you can stuff in a C-130, C-141, C-5, C-17.)
I’m going to claim Supply.
As a Logistics guy (Army) that sounds like logistics to me. Supply falls under logistics. Hence I wouldn’t consider you wrong if you dumbed it down using that description.
TBI or a brain tumor. That’s my theory.
A few years back, I searched around in the Russian media to see if they had cases of SV. They do, but far fewer than here unsurprisingly.
The one that always stood out to me was the case of a legit Captain in the Russian Navy, who claimed to be… a slightly higher ranking Captain in the Russian Navy. They have three Captain’s ranks, and I guess he felt he deserved a promotion.
Maybe that higher Captain rank was bestowed upon him honorably by the National Association of Naval Photography.
Strange. No RVN service and non claimed.
Seems that would have been an easier pose given the AD dates.
Wow, just wow. Way to flush a totally honorable tour of service in the USMC right down the ole’ crapper, Wilfred.
When I opened the fist document (FOIA Request Response) I was really shocked to see that he was a Marine vs. Sailor and thought it was going to go downhill from there as far as duty stations and MOS.
I mean, it did go downhill but….not the way I thought it would. I was fully expecting to see a Supply Clerk or Cook not a Recon Marine.
So sad. Recon Marine to Commander of SEAL Team Six……….
Yeah, this guy had a solid record as a Recon Marine, so I’m also unable to understand why he would choose to go ‘full potato’ with those phony SEAL Team 6 claims.
I wonder if he was a team-member on the infamous “Driftwood” raid. Maybe he is just trying to hide is identity.
Nah, that event occurred a few years after this knucklehead was already out of the Corps and long gone…
My theory: To claim that he was a Marine would have meant he had to explain why he was not sent to Vietnam even though he was on active duty at the time. Not that there is any shame in not going to Vietnam, but maybe it was a case of people assuming he was there and him always spending his time correcting them and the fact that he did not go always being the focus of the discussion. Maybe he got tired of it.
So, he went full SEAL on us. Everybody knows that you don’t go full SEAL.
Wilfred Henry “Butch” Belanger was a Recon Marine but was never a SEAL.
Wilfred Henry “Butch” Belanger was a Recon Marine but decided to defecate upon his honorable service.
Wilfred Henry “Butch” Belanger was a Recon Marine but decided to embarrass his brothers.
Wilfred Henry “Butch” Belanger was a Recon Marine but forgot what “Semper Fi” means.
Wilfred Henry “Butch” Belanger was a Recon Marine but was not a Commander with the SEAL.
Wilfred Henry “Butch” Belanger was a Recon Marine but was not a member of any SEAL Team.
Wilfred Henry “Butch” Belanger was a Recon Marine but is now exposed as a liar.
Wilfred Henry “Butch” Belanger was a Recon Marine but is a sad, strange case of Stolen Valor.
Wilfred Henry “Butch” Belanger was a Recon Marine but has now embarrassed his family, friends, and brothers in arms.
He transferred out of the NJ office to Deerfield, FL and became a postmaster there for a few years until he retired.
I’m wondering…….given that I’m somewhat limited in what I can open and view……I have to ask…..did HE say that he was SEAL? (i.e., FB, direct quote)…..or did The Bird Cage Liner say that he was a SEAL? Most of these “journalist” types wouldn’t understand one branch from another, one MOS from another, so possibly they put words in his mouth he never said?
Well, he is wearing a SEAL cap and he’s wearing a Trident on his suit jacket, so….
Ok
https://cdn.meme.am/instances/49414888.jpg
Butch Belanger couldn’t be happy with his honorable service as a Marine… he had to go balls deep with the “SEAL Team Commander” bullshit lie. Probably been rocking it for years to anyone that he thought he could bullshit. Too bad the WOLVERINE FELCHING ASS HAMSTER known as WILFRED “BUTCH” BELANGER is now famous for his STOLEN VALOR exploits.
The Internet is forever, “BUTCH”… deal with your “fame”!
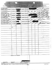
I have a question, what is a Scout Driver and someone said he was regimental recon and not force recon? Is there a difference? Remember, I am not a veteran of any service branch and honestly don’t know. I am trying to learn.
Andy Kravetz, reporter
Peoria (Ill.) Journal Star
Force Recon means you were assigned to a Force Recon Unit. Generally Marines become Reconnaissance Marines and gain schools/experience and then participate in the Force Recon indoctrination…if they perform significantly well and exhibit the qualities Force is currently looking for they will be accepted. Just like Indoc at Battalion though there are usually more candidates than there are available slots so it is also a competition.
Things are different now though a lot of the basic spirit is still alive when choosing MARSOC Operators.
The basic mission requirements are different. This is a General Rule of Thumb:
Division or Battalion RECON is in direct support of the Marine element they are assigned to. They usually do not attend Dive School.
Force RECON can support Marine elements but are also used for things we do not speak about. They can and have done interdiction completely independent of support. You do not and will not read about those operations to a large degree.
There is no requirement for a Marine assigned to Force RECON to attend both Jump and Dive school. In fact, Marines have and do serve in Force Recon without attending either.
Mission requirements have changed over the years. They tried to convert Force RECON to MARSOC so Marines could play with Special Operations Command but alas Marines don’t play well with others so they brought it back.
So Division or Battalion RECON (different names for the same thing) usually provide direct support to a Marine force and Force RECON does that and…other things.
Dave – I’m not sure if there was a Force Recon in Vietnam. In ’70-’71 (as it was closing down i.e. striking colors), 1st Recon patrols were mostly independent patrols with occasional patrols in support of FOBs. I was a special bus kid because they were closing down and needed corpsmen in their last months. Nevertheless we got in-country RIP training and did plenty of patrols. All of 1st Recon’s patrol reports can be found at http://www.recordsofwar.com/vietnam/usmc/1stReconBn.htm
I’ve researched my timeline thoroughly, and scanned numerous other timelines. It appears that the ratio of independent/support roles for earlier timelines are similar to my timeline. PS: the reports are typically 200 pages. Patrols are numbered by the year then a sequential number.
1st Recon Bn stood down in DaNang about April 30, 1971. We took over their cantonment area on May 1, 1971, as my Ranger Company, assumed their area of operations. This occurred when the 1st MarDiv stood down, and was replaced by the 196th LIB of the Americal Div. I was in their TOC when the last recon patrol was being extracted from the field.
rgr769: Dang, we crossed each other’s space. As you note, 1st Recon struck its colors (I have the date as mid-March) but they left Alpha company (Rein) until the first of May – about 220 of us. I was on one of the last patrols and then got shipped to MACV (with other corpsmen) on May 5th until they flew us home. I hope you didn’t get my hootch/cot. I left bedbugs and a couple of rats. It would have been worse if I knew Army was moving in. Incidentally, I hope our ratter dog was still there. She was named Ranger – no cheap shot at the Rangers of course. : )
I got the C.O.’s space above the orderly room. I met the A Co. C.O. just before we took over. I still have a copy of our orders directing our attachment to the 196th LIB and to commence LRRP ops for them on May 1, 1971. You were probably still there when I showed up with our company advance party the last week in April, 1971. One of our patrol teams adopted a Vietnamese dog that became rabid. As a result we had to stop ops and stand the whole company down for three weeks so everyone who had contact with the dog could get rabies shots. If that was your “Ranger,” he didn’t survive the necropsy that proved he had rabies. Luckily, I never pet or had physical contact with the little bastard.
I don’t remember the sex of the dog. But I suppose that could have been your bitch. But I don’t recall where the rabid dog came from. But he/she sure caused many painful shots to the belly for those affected.
Sorry about the rabies shots. I didn’t mean to give the dog rabies, she wouldn’t let go of the rat so I bit her. However the side benefit of imagining all those Rangers getting all those shots – a corpsman’s dream! Marque de Sade, we corpsmen bow to you!
You can see a picture of the dog Ranger at the 1st Recon Bn Association http://www.1streconbnassociation.org/Grimm/Grimm%20Nam%20Slide%20Show.pdf Not sure how deep into my slide show she shows up. If you are interested in emailing me it is larrygrimm (at)Comcast.net
There is a cruelty streak in you medics/corpsmen. My first line company medic used to like to give penicillin shots to the guys who came back from R&R or the rear with VD without completely mixing the powdered drug with saline so they had a large painful lump in their asses.
Enjoyed your pics, especially of Camp Reasoner, which I inherited. I don’t believe the rabid dog was the one in the photo. I’ll send you an email.
Force Recon gets its name from being part of Force Service Support Group. There was Force Recon during Vietnam but to my knowledge 1st and 2nd Force RECON as units were never in Vietnam.
By the mid and late 70’s the Corps started to combine Force and Division units. All the heavy Arty was Force…8″ and 175’s. They moved many Force assets to Division. 109’s became 4/10 and they did away with 175’s so 8″ became 5/10. And so on.
The mission statement for Recon that remained with Force made a distinct departure from the Division assets. Division Recon was out at shacks on Onslow Beach and Force got the nice new Hotel life at French Creek.
2nd Force, Anglico, Topo, LSB were all together at French Creek. Dive billets to my knowledge were limited to Force. Jump school could have been any of them.
At the time, the SEALs were not well known. UDT/Frogmen thing was kinda known. My guess is that in say 77 if you said you wanted to become a SEAL most Marines would have no idea what the hell you were talking about.
SEALs did not go through Combat Dive Course. Force RECON did. Some Marines participated in a particular phase of the training that SEALS went through but did not complete BUD/s school as Marines.
When Marine Divers got back from the Squid school they then had to complete the Combat Dive portion. It stayed that way until sometime in the early 90’s. I will guess around 92-94.
I am bored waiting on the Soviet to get home, I know all of this shit because I was an 0151. That means I know everything but can’t do shit.
I say we invite him out on my boat, weight his ass down, pitch him overboard with an old deepstar and see what happens.
Kinda like the witch hunt test. It he floats…he is full of shit.
Thanks Dave. I’ve been fuzzy on how some of the forces were divided and used. I know our UDT guys were in Delta company, but none of the guys I served with ever indicated they went through UDT or jump – though I was too ignorant of Recon training to even ask.
AGrimm: Any chance you’re an 8416? Any chance you went to NucMed School at Bethesda and/or was stationed there from 72-77? I ask b/c I was there during those years. My claim to fame after 8404 was 3rd Med, Hansen, Okinawa, early 70 through early 71. I believe you mentioned in a previous posting you were NucMed. (The few; the proud; the guys who can make you glow.)
HMC – I was your garden variety 8404/0000.
My path to Nuc Med started in ’74-’75 at Seattle U. when I changed my degree pursuit from biology to SU’s new Nuc Med degree. Scintillation cameras were pretty new at the time and we still were using rectilinear detectors for some exams.
It was a snap decision to go for the NMT degree, much like getting into Recon was a snap decision. Both decisions turned out very well.
aGrimm: Are you still in the field or retired, as I am? I was NMTCB & ARRT for 30+ years. I went to school in 72. At Bethesda we had two rectilinear and two scintillation cameras. Tough doing a brain scan with a rectilinear. Hard to remain motionless for up to half an hour. And flow studies were out of the question. LOL LOL LOL
Early on, most business was brain scan (HA r/o tumor), livers, thyroid and bone. Today I understand it is cardiac and bone and a few others. Man, I was never happier working than when I was a practicing nuke. So, you still in the business or have you hung it up and gone on to green pastures?
Thanks. I just know of Recon from the Clint Eastwood movies and from TV shows which show that it’s like the Marines’ version of special ops (before MARSOC). Again, trying to learn. It’s a totally different world when you aren’t part of it.
Andy
Maybe he was just trying to be humble about his service so instead of saying he was Marine RECON he told people he was just a SEAL.
Bizarre.
I went to Ranger School with a few Marines back in the day. Solid dudes. So that part could be legit.
Dude looks like he had a pretty solid time in service.
Just bizarre.
Regimental Recon…again his time there is before my time, so some or the specifics may be different than they were during my time.
There were Recon Marines and Corpsmen assigned to infantry units such as 2d or 8th Marines. Their experience levels tended to be less than optimal and not all were Recon Marines by MOS, some were OJT’ed internally or went to the Recon Bn RIP program in the hopes they would do well and eventually go to BRC/ARS. Sometimes being sent to Regimental Recon was also a punishment. lol
I honestly don’t know why he was assigned at some point as a scout driver per se. Had to be in the current TO though.
In my time in Recon Battalion would usually have platoons ” chop” to Battalion Landing Teams at MEU level for the work up to deployment and deployment itself.
While they may try fir continuity there was nothing set in stone that a particular Platoon would always be with a specific Battalion.
As far as I know the only way a Company from Recon Battalion would be attached to an Infantry Regiment would be if a MEB ( Marine Infantry Brigade) was formed.
If a MEB if stood up it usually means some real life shit is about to go down.The only time I ever saw this happen was during Desert Shield/Storm.
The guys I was talking about were not MAU/MEU elements….they just kinda FAP’d over there for a time, usually at least 6 months.
This one of the strangest things i have read. Wasnt being a Recon Marine and Ranger hard enough for him?
Are we sure he claimed it and the newspaper just assumed he was a SEAL and put that in? I didnt see where he said he was a SEAL
The articles and claims about him span many years. There is never an instance we can find where he tried to correct it. Too many people for too long of a period of time were being told he was a SEAL. They didn’t just come up with that on their own.
He has been sporting about for a very long time wearing the Trident of a Navy SEAL. He never earned one and knows better than to give people the idea that he did.
The motto of RECON is Swift, Silent, and Deadly. I emphasize the Silent part. No public recognition for what they do is published to a large degree.
He had no reason whatsoever to run around like he was a SEAL other than wanting to be recognized for being “Special” and breaking the code of Silence.
That is just my humble opinion.
Maybe he had a difficult time explaining Marine Recon. Finally, he just kept saying it was like the Navy SEALs, but he was a Marine.
They seized on the Navy SEAL part, and it was easier to let it go than explain the difference. Just a thought.
OK; maybe.
But he’s wearing a SEAL ball cap in one of the photos above, and in another photo he’s got a SEAL Trident pinned to the lapel of his jacket. In my estimation, that takes all of this well beyond just ‘letting it go’.
It looks to me like he’s intentionally trying to falsely portray himself as a SEAL.
Yes, you’re right. And then there’s that.
I’m really talking about way back when, when it all started. The spark. I do concede that he has fully adopted it all now.
I guess I find it difficult to believe that people get out of bed one day and decide on a ruse to be a Navy SEAL. I’m inclined to think that there were prompters along the way that made it all make sense to go down a slippery slope. Someone assumed something and he just let it go. One thing lead to another, etc.
I could be wrong, however.
NINE YEARS as a legit USMC Recon and he goes full turnip babbling that he’s a Retired SEAL? The dude did some time as a badass but he babbles like some of the glittery gargoyle gonad-gazing Swamp Donkeys we’ve seen that either never served or were Giducks, I can’t even remotely fathom why he’d do that…
Wait…did I just see that he was a USMC *ski instructor*? They have those?
Forget being a SEAL, that’s got to be the most awesome job in the world. I know the government somehow takes the fun out of everything, but he was a goddamn SKI INSTRUCTOR. Please say it covered waterskiing too.
I saw that. lol
The skis and other gear the Corps provides are mostly for cross-country and pulling sleds full of stuff. It’s a good workout, but since it’s geared for Arctic Warfare there’s not much of a fun factor in most instances. The reality of the application of most of the “fun” things are usually lost in the fact you’re often doing them in shitty extremes for long hours.
Don’t even get me started on the joys of the Mountain Warfare Training Center in Bridgeport.
Don’t get me wrong, I’d volunteer for an arctic deployment or training package any day of the week to get the fukk away from garrison games, but everything the Corps does it does with a significant sukk factor.
LOL! I remember those “cross country skis!” I AM NOT A GRADUATE OF ANY MILITARY Arctic training school. The CSM at the Univ of Montana thought it would be a great idea for all of us cad-idiots to goof around with army issue skis one winter (he especially wanted to put some of us prior enlisted dudes in out correct place…) It was like trying to ski on sheets of plywood!! Man was my sorry ass dragging at the end of that day…
Ah yes, the beloved White-Star army issue skis and poles. You are correct in your description of them. That is why many of us bought our own civilian style cross-country skis and used them when the 10th SFG(A) did winter ski training. It was quite entertaining watching the guys who had never skied before trying to maneuver those GI issue planks downhill on the icy New England snow.
Rgr76: that one experience did propel me to learn to be a barely acceptable cross country skier. I love that stuff. A hippie from Canada taught me how to Telemark turn on Mt Baker (Ptarmigan Ridge) in an afternoon. Good guy, for a granola muncher.
I do believe in the Karhu skis. My youngest some calls them bear skis from the logo. I have a set of long ones for groomed trails and a set of stubbies for going through the trees and untraveled areas. (Ya can tell by my lack of correct ski identification terminology, Im still a goddam amateur!) 🙂
My army ski training is what caused me to learn downhill and cross-country skiing. Unfortunately, a serious knee injury 8 months after I left AD caused me to have to give up skiing.
Embrace the Sukk!
24/7/365!
One of he Corps’ great secrets – Bridgeport. The other, Embassy Duty. (it’ll always be MSG for me not its new name)
Shhh…wait till people find out sucking the eyes out of a live rabbit is part of the official training program.
USMC Ski Instructor duties:
Go to Marines deployed where there is lots of white stuff on the ground.
Deliver large boxes with ski’s and poles.
Assist in strapping Marines to said gear.
Push down hill…
Finally, always exempt Corpsman from putting on ski’s
Ice breaking drills Dave….ya gotta have ice breaking drills.
https://www.youtube.com/watch?v=JzD7zkHS2lQ
I went and did both the Cold Weather Medicine program and a winter package at Bridgeport… and did the snowshoeing and skiing. Learned how to ski with the Marines and loved it (still have my own gear)!
Ahh, the snow shoes. Mickey Mouse boots and snow shoes. Ya, I could do a mile in about a week.
Poor rabbit. I don’t know why you idjits perpetuate that crap, but every state in the USA has anticruelty laws. Telling someone to intentionally maim a live animal for no valid reason is an illegal order.
So how about if we just yank your eyes out of their sockets, Dave?
Its food.
They have to start eating it -somewhere-.
Ok, its about survival training. You only get a few meals and a live rabbit to live on.
If ya kill the rabbit right away you get real hungry after a few day. If you just try to carry the damn thing around it will run off.
BUT…there is good news. If you suck out its eyes, it stays alive and wont run off. So, if you did your homework and passed the fire test after 5 days or so above 10,000 feet you get to cook a blind rabbit.
Good eats…you just dont appreciate high altitude food.
That is rather cruel. The Army Survival School was more humane. We always grabbed the live rabbit by the hind feet and beat it against a tree to kill it before sucking out the eyes.
I don’t believe anything that any of you say. You should stop reading comic books.
yeah…we just eat MREs …they just come in a bunny fur wrapper that has a pulse.
Then you have the bunny fur wrapper to keep your hands warm with.
With a little work, his teeth become fishhooks.
Yeah, so none of you numbskulls were worried about Lyme disease, Rocky Mountain spotted fever, or tularemia? Eeewwww! How’s your liver these days?
I think every bunny in the world should ostracise all of you because you are mean to bunnies.
http://www.bbc.co.uk/news/uk-england-london-13641633
I can differentiate 40 different STDs based on taste alone….you think bunny vectored rickettsiae bacilli, or spirochetes last beyond a millisecond in my bodily fluids?
bwahahahahahah
Depends on which bunnies you’re talking about.
indeed
The rabbits are raised in captivity and supposed to be free of disease and pests. At least the Army ones are. Never saw anybody suck out an eyeball but I never went to Marine Ski School either. Seems a solid strategy, waste not, want not.
Marine Corps Mountain Warfare Training Center Mountain Survival Course in 1986.
Good training; good times. Learned a lot of valuable skills.
https://www.youtube.com/watch?v=PbcW-PV5wvc
They put in a chair lift? Getting soft with that shit.
I just realized I completely ignored MSG. Here ya go, I was just a wee bit leaner back then.
http://www.msg-history.com/gallery2/main.php?g2_itemId=28578
HAHAHAHAHA, the only instruction I ever got was stand pigeon toed and lean forward.
Water Ski instruction is generally OJT. More like being dragged than actual Skiing of any kind.
Used to learn how to do it from something called a Gamma Goat when it left the stern gate of an LPD. Kinda, sink, bob, drag thing.
Gamma Goats should be outlawed…LOL How the hell would like to have been wounded, and tossed into the back of one of the Gammas configured as an ambulance…OUCH!
Dave, I loved the old Gamma Goat, was driving one one time and pulled up by the motor pool sarg. turned on the bilge pump and shot oil all over his ass! He never forgot about that!
So am I to assume then that it wasn’t actually smooth jazz, warm fireplaces and bearskin rugs? Chowhalls full of baked brie, fondue and hot cocoa?
Picture it how you guys want, but I choose to imagine it as that ski lodge from the Pink Panther. Don’t take this one from me.
shhhh….the wives club is gonna find out
No, it was more like this:
http://www.nydailynews.com/entertainment/wild-moments-playboy-mansion-gallery-1.2505223?pmSlide=1.2753701
They’re all full of it, you see.
The father of one of my ex-girlfriends spent his draftee time as a ski instructor in Germany during Vietnam. I think he was 82nd Airborne…it beat being in the jungle by a long shot!
This case brings out the liberal side in anybody that was Navy.
As with serial killers or terrorist bombers, they don’t want to criticize him, they want to understand him.
Maybe it was years of suppression, always wanting to be Navy, but trapped inside a Marine’s body. He couldn’t admit his secretly wanting to be a sailor to any of his Marine buddies for fear of ridicule.
Finally, a man’s gotta be true to himself. He played with G.I. Joe when he was a kid, but he liked the flippers vs. the boots. He liked the scuba tank vs. the flame thrower.
Rather than push him away, we need to bring him closer. We need to understand him.
LMAO…even this Jarhead finds that funny.
Liberals can never just say “he’s crazy.”
They tend to ask things like “Well, how crazy was he?” and “What kind of crazy was he?”
I don’t want to understand this moron at all. I’d prefer to just smack him silly and tell him to stay in his own corner of the room.
Did he do that with warm fuzzy thoughts of group hugs as well?
Love the sarcasm…
Wow. Nothing else to say. Just Wow
Wilfred is the essence of a complete nincompoop.
I’m going to go make cookies now.
My stars there seems to be an awful lot of Commanders for Navy Seal Team 6. Did all the other teams get 86th and Team 6 is all that is left?
I am truly confused. I can’t adult anymore…where’s my lolly?
**hrrph*** I am so channeling this little girl lolol
https://video.search.yahoo.com/search/video?fr=yfp-t&p=little+girl+and+snow+white#id=2&vid=b8a47940ad6cafd20c132fcf280ea752&action=click
Retired Naval Officer and Seal Team 6 “Leader”….so is his wife just a moron too or did she ever wonder why she had no ID card, they had no retired military privileges and there was no “guvmint” check coming in each month?
That is what I don’t understand….”I was in the Navy for 20 years”…”but, err, ahh Wilfred honey, you never left home. Were you just undercover working at the Post Office?”
These clowns can’t lie like that unless everyone who has known them for any length of time helps perpetuate the lie.
Guard Bum: Sounds like my brother who spent about one year in the Navy, never ‘working’ two successive days. Mostly he was UA, AWOL, Deserter, in jail of San Diego and adjacent communities, in Navy Brig and Mexican jails. But … everyone who knows him is convinced he was a sub sailor with years of service to a grateful nation. He’s too stupid to gundeck documents, so he claims they were lost and he just rocks the verbal lie.
I know it’s all been said already, but I just want to say – myself:
I JUST DON’T UNDERSTAND THIS SHIT!!
He did shit that OTHER people lie about. WHY NOT JUST SAY, I don’t know, WHAT THE FUCK IT IS YOU DID to make people think you did cool shit in the military!!!! BECAUSE YOU DID!!!
Way to fuck your great experience.
Loser.
Go with MTSQ but set it to PD. And leave the sub charge in it this time.
I was on the hill one time at a Rolling Thunder exercise and we heard of one of the batteries in the regiment (10th Marines) that had a round explode at about the treeline. The ATC set the M767 at 0.5 seconds to function as PD. Of course the setting for PD is 0.45. Woops. Good news is there were no casualties. Lots of messed shorts, however.
I could some of the details messed up, but that is the story that was relayed to the FOs.
I was a Parachute Rigger but I think a Disbursing Clerk might have been a gravy job. Better than a Bosun’s Mate anyway.
Should have been chooee lee, my bad
I was a Combat Engineer and saw almost any job that got one out of the Motor Pool every day as a cushy assignment.
some of the cool shit I did was: Stationed in Hawaii and visited most of the islands, skied (well attempted to) the Andes, went to Machu Pichu, lived in the Amazon jungle and travelled the river, dated a Dutch ambassador’s secretary, and met my wife.
Some things just defy reason and common sense.
Well, while most stolen valor people wear PFC, CPL, SGT, or CPT rank; this guy went big, not just as Commander. But “SEAL TEAM SIX” Commander, think the newspapers would have verified that BS before they published it.
Dumbass
I’ve been trying all day to figure out what to comment. And I just can’t come up with shit. I mean… the dude has a Ranger tab!
Mike Sleeper is so pissed at this Marine!!!
HAHAHAHAHAHA, you have a point. So Mike Sleeper faked being half of what this guy actually was and this guy doubled down on twice that.
So you are saying Mike Sleeper is less than half of a half of a half assed poser.
Math in there somewhere, not sure what that all equals but it ain’t much for Sleeper.
Yes you nailed it. I could t quite put words to it all! Thanks!
“…the dude has a “Ranger tab!” Not necessarily; he could have completed and graduated the course at Ranger School (anyway in his time frame) without receiving the tab. About 12% of my class completed the course but were not awarded the tab. For example, we had two navy SEALs in my class who completed the course but were not awarded the tab because they could not pass 50% of their leadership positions on patrols.
I understand one must meet the requirements, not just complete, in order to receive the tab. I was being more facetious regarding Mike Sleeper.
Or maybe I was being more feces – yeah that’s it! Mike Sleeper and feces. So similar that I get the two confused! 🙂
Me thinks all the stamp glue he sniffed in the postal orifice led him to become a legend in his own mind.
I can never figure out what the mailing options are in the post office. Priority, Express Mail, Overnight Guarantee, First Class, Retail Ground, Standard Post, etc.
Then there are combinations – Priority Mail Express
You have to stand in line to get your questions answered and of course I always get the wrong label thingie with the wrong package and have to go to the end of the line.
When I first read about Butch Belanger, I said to myself “Thank God they got a SEAL in there to straighten out this mess.”
Yeah, nuff said.
To all of you that made your comments I will from the bottom of my heart say I am forever sorry for my misleading comments. I am and always will be a Marine. I worked and trained with many special forces. I explained many years ago a mistake in words that some one took out of a conversation I had when I was talking about some of my past experiences. I went through some of the toughest training there was in the military and I’m very proud of it. I have done some things in life I’m sorry for and I asked to be forgiven many years ago. Why this is all coming from and why I don’t know. If you want to try and ruin me then go ahead and have your fun. I am retired and I have a life where life is simple and quiet. I where for your information many hats. I wear my USMC hat. I wear other hats. I just got a replacer of the sword we wore with our dress blues. So please all that made comments that’s your right. For the record. I’m a Marine and always will be. That’s all I have to say. Spyglass Bravo out.
I’ll just leave this here, Ranger:
Never shall I fail my comrades. I will always keep myself mentally alert, physically strong, and morally straight.
‘misleading comments’
‘a mistake in words’
No, Marine, you claimed to be a SEAL, and the military records posted above clearly show that you are not a SEAL.
Also please see the newspaper article and the photos posted above.
– Stating in a newspaper article that you served 21 years in the U.S. Navy and that you were ‘a Seal Team Commander of Seal Team 6’ are not merely ‘misleading comments’ or ‘a mistake in words’.
– Wearing a SEAL Trident on your jacket out in public is not merely a ‘misleading comment’ or ‘a mistake in words’.
Semper Fidelis is much more than just a slogan or a bumper sticker. You should have remembered that, Marine.
You ran with your lies for years, BUTCH… every damn time you got your picture in the local fishwrap, you took at crap all over your Marine Corps service just to “rock the lie” as a Phony Navy SEAL.
Your actions make you an EX-MARINE… Semper Fidelis are just words to you not a way of life. HONOR, COURAGE and COMMITMENT don’t mean shit to you – if they did, you wouldn’t have played your reindeer games at all.
FUCK. YOU. “BUTCH”.
It really is very easy to explain where this is coming from – it’s a direct result of your lying about the nature of your military service, Butch. Lies. Say the word to yourself a few time, then learn to say it out loud instead of pretending that your lies are misleading comments or mistakes in words.
When you lied, you invited the rest of us to call you on your lies. Had you not lied, we would not be calling you a liar.
The choice was yours. You decided that dishonoring all who have served and besmirching your own service was worth something. Own it – you did it to yourself.
Fuck YOU BUTCH, you’re such a pussy ass stupid fucktard, you non apology and bullshit excuse trying to gloss over this and not OWNING YOUR LIES has earned you the opportunity to wallow in the Wall of Insults®™.
I make the motion for The Wall of Insults®™ to be leveled against Wilfred Henry “Bitch” Belanger
Do I have a second?
SECOND!
We have a “Second”….all in Favor say “AYE”
Aye!
Butch, you’re a scoundrel and a lackwit, and not a very good liar. You are, in fact, an ASS HAMSTER!!
I third that motion and vote AYE!!!
We have multiple “AYE” votes…only one vote required, the “AYE”s have it
Wall of Insults®™
FIRE IN THE HOLE!!!!
TACTICAL NUCLEAR ROUND OUT!!!!
DANGER CLOSE!!!!
MOPP LEVEL 4!!!
TAKE COVER!!!!!
Wilfred Henry “Bitch” Belanger, Phony SEAL, ALLEGEDLY, but not confirmed, but in some people’s opinion, works balls, tickles taint and tongue punches hobo’s crusty fart boxes all, I Guess, while being a syphilitic, turd-sucking feces factory, Bitch-ass Fuckstick guzzler, pile infested, onion-eyed flapmouthed butt-bailiff, “Fowl” mouthed Chicken fucker, inflamed, “Towel boy” in a gay bath house, Ambulatory verbal dissembling anus, gaping, Cambodian cunt sauce, ball working asshole, Poster-child for abortion, Swallowing Spoo Sampler, shit tonguing, munching wanktoaster, cock gobbling, lientery steatorrhea, sperm burping, tit, sniveling, codpiece licking toilet seat sniffer, lying, Pillow bitin pickle smoocher, Bowl of ass soup, Satan even said about you, “Boy is this guy a DICK!, Sparklepony, worthless, Vice Admiral of the Narrow Seas, moldy bowl of ratshit, would wear Richard Simmons’ used jockstrap as a facemask, useless bag of monkey fuck, rancid floor buffer wax spreader, both of your Grandmothers should have had an abortion, just in case, Mayor Grundle of Scrotumburg and Anusville, waste of oxygen, anal sphincter canyon yodeling phallic squeezer, numbnuts, snowball, giggling beerflecked canker blossom , maybe a “buggerer of little boys”, rottencrotched, rump wrangling, culo de chongo, booger eating fuckbucket, Lemon Party-lusting fruitcake, putrid, rotting, whoreson whale’s carcass, overzealous polyp burglar, bed wetting, follows in Victorious Felder’s bovine excrement -filled boots, as fucked up as an opossum eating shit out of a hairbrush, moron, Prevaricating Sphincter, Cock Bagel and Dick Doughnut, baby unit, you’ll never be the man your mother is, Odious Twonk, terminal crotch infection, asshat, dick pickle, wanker, herpes-ridden dung beetle target, first volunteer for being part of a jailhouse human centipede, should eat a nice steaming pile of monkey shit you ass clown, helmet wearing short bus riding window licker, more ate up than a chocolate dildo in a crowded gay bar, shitbag, dipstickus giganticus, Humpty Dumpty cleanup man after the fleet visits Naples, knob gobbling, fimicolous galactic Jackoff, Assistant Jizz mopper in training, inbred, toe-jam from an infected Filipino hooker that specializes in foot jobs, your penis lives in eternal darkness, I’d hate to see your toilet, retardus maximus, Microcephalic Toad Licker, steaming bucket of monkeyfuck, catcher not pitcher, Arschloch, impotent koekeloeren, slaptard, couldn’t even be trained in my AFSC in the USAF to suck farts out of C-5 seat cushions, mumpsimus, reverse dirty sanchez lover, kutomba wewe, douche & enema nozzle, likes to molest small farm animals, dead and alive, is a hemorrhoid, schlong juice, Fuck Tart, Sitzpinkler, lispian, Milksop, puss soaked jackwagon, waste of trace elements and water, Pettifogger, donkey raping shit-eater, pedicabo ego vos et irrumabo it, may he lay a lip lock on the snotty end of a moose cock,butt munch, man of the night in a large animal bordello, I bet you’re the kind of guy that would fuck you own mother in the ass and not even have the goddamn common courtesy to give her a reach-around (Thanks R. Lee), NOT a retired Naval officer and commander of SEAL Team Six with 21 years of service, wrote a shitty attempt and gave a NON APOLOGY and made excuses, would not own up to his LIES, fuckstain skidmark on the underwear of life, taint cookie, Fartleberry, Some NCO Should have beat you within an inch of your life, insult to humanity, shit-filled meatsack, masturbates to videos of Jar-Jar Binks, walking shart shooter, test subject for Preparations A thru G, Remedy critch, Gnard gargling queefsquirt, stupid enough to try to sandpaper to a wildcat’s ass in a phone booth, Handgallop, twat, Obamawad, tool, bint, sleezebag, weaksauce, Gobshite, fuck hole, Pillsbury Dough Bitch, Should NOT be around WOMEN OR CHILDREN, touches himself inappropriately, Turd-Burglar, rimjobber, cum-dumpster, bucked tooth, Useless mangy crotch-dropping, Putz, rectal inspector, ferger, Sheep tits, gonad, queefer, chicken shit, choad, dopus, Blue Falcon and Blue Waffle, Fuck Apple with mold, twizzletits, tallywacker, Bozack, Gerbal Felcher, dingleberry, bitch, Saprophyte, ATM, pap smear, shitmitten, Dandy prat, Tazmanian Dorkwad rat fucking, shit-sucking warthog’s asshole, gimp, bescumber, coccydynia, sack of siberian sheep shit, mangina micropeen, Syphilitic Turd Burglar, possibly likes to pick his teeth with Bernath’s used catheters, Hircismus, cheat, pope-fondling, turbo apeshit crazy, Cacafuego, Cock-juggling *Pussy* thundercunt.
FUCK YOU, ASS HAMSTER!!!
Well done ChipNASA! IMHO the Wall of Insults®™ has grown to the point where I move that it be renamed “The Nine Pillars of Insults®™”
I keep wondering (I googled it) which Nine Pillars of (wisdom?) you are referring to.
Hey B Belanger, IMHO you sound like someone who’s only sorry he got caught, so BLOW IT OUT YOUR ASS, you had plenty of legit accomplishments to be proud as hell of but you shit, pissed and spit all over it with your games!
Tool.
Wilfred Henry “Butch” Belanger – you have now discovered the consequences of your failure to live up to the codes of honor you voluntarily undertook to maintain.
You did not give “misleading comments”, you flat-out LIED. This was not the result in “a mistake in words”, you flat-out LIED.
Wilfred Henry “Butch” Belanger is not honorable, Wilfred Henry “Butch” Belanger is a liar.
Wilfred Henry “Butch” Belanger did not uphold the Marines creed, he flat-out lied.
Wilfred Henry “Butch” Belanger did not live up to the Recon creed, he flat-out lied.
Wilfred Henry “Butch” Belanger did not offer a sincere apology for his lies, he attempted to cover over his lies with b.s.
Do you get the picture, yet Wilfred Henry “Butch” Belanger? You dishonored everything you honorably did by being a LIAR. You had service anyone could be proud of, and you defecated all over it with your lies.
Look in the mirror. What do you see?
A dishonorable liar!
You get to live with that now.
Butch, you don’t get to “wear other hats” just because you want to, or think they’re cool, or whatever. You can wear your USMC hat all you want to because you EARNED it. (I’ll leave it to the other Marines here to determine whether or not you should still have that right after lying about your service.) You did NOT earn the right to wear a Navy SEAL hat, not even to “honor” the SEALs. Nor does “serving with” them give you that right. The same goes for wearing that Trident on your suit coat.
Quit trying to “explain” away your lies. It’s not “misleading comments”; it’s not a “mistake in words” it’s a LIE. Own it! You’re not really sorry you lied; you’re just sorry you got caught and were publicly called out.
Reconnaissance Creed
Realizing it is my choice and my choice alone
to be a Reconnaissance Marine,I accept all challenges involved with this profession.
Forever shall I strive to maintain the tremendous reputation of those who went before me.
Exceeding beyond the limitations set down by others shall be my goal. Sacrificing personal comforts and dedicating myself to the completion of the reconnaissance mission shall be my life. Physical fitness, mental attitude, and high ethics —
The title of Recon Marine is my honor.
Conquering all obstacles, both large and small,
I shall never quit. To quit, to surrender, to give up is to fail. To be a Recon Marine is to surpass failure; To overcome, to adapt and to do whatever it takes to complete the mission.
On the battlefield, as in all areas of life,
I shall stand tall above the competition.
Through professional pride, integrity, and teamwork, I shall be the example for all Marines to emulate.
Never shall I forget the principles I accepted to become a Recon Marine. Honor, Perseverance, Spirit and Heart.
A Recon Marine can speak without saying a word
and achieve what others can only imagine.
…or tap out and buy a trident to slap on his civvies
Stop givin’ away the farm, IDC_SARC.
You should be giving out instructions on how to deliver breech birth babies, not telling people the Creed of the Noisy, Slow and Harmless!!!
He does wear many hats, and donning a trident pretty much qualifies him as an ass-hat in my book
Oooooooohh, SNAP!
You may have won the internet today.