
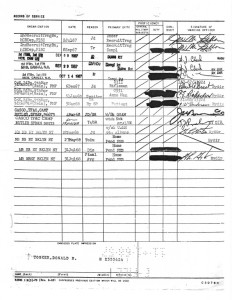
Someone sent us their work on this Donald Benjamin Tooker fellow, pictured above last June at a VFW parade. Looking at his awards, he claims to have been wounded in Vietnam and served at least 3 years in the Marine Corps (the Good Conduct Medal). His FOIA says that he did indeed serve in Vietnam with Echo Company, 2d Battalion, 9th Marines, 3rd Marine Division (Fleet Marine Force) but that he fell ill after about three months and was returned to the US, that he wasn’t awarded a Purple Heart for his illness, and that he served a little over a year in the Marine Corps;
A reasonable person should think that an actual Purple Heart recipient would also have a Combat Action Ribbon since it’s hard to get a Purple Heart without some combat action. The folks at VFW Post 4715, Point Pleasant, New Jersey should check his DD214 on file there.


I think my daughter could produce a straighter and cleaner fruit salad with a crayon.
WTF is that on his collar?
It’s his VFW lodge number 4715
It’s “4715”, apparently his VFW post number.
My guess would be that is the date he had his shirt dry cleaned at Rotten Ralph’s Dry Cleaning and Transmission repair Shop. Look just inside the collar and see where they apparently ripped it and sewed it back together. The seamstress was home sick that day so they had it repaired by a mechanic named Bubba the one-armed fluid specialist.
THIS is EXACTLY why I avoid all parades honoring RVN vets in particular. Just too many opportunities for any loser to get in the column and walk as if they were Audie Murphy’s mentor. Attention whores in the worst way, begging to be somebody.
Let me take a wild guess at this guy’s illness. Wouldn’t have been he came down with the “yellow fever” by any chance? Just saying. I mean if you have to lie about your time in service, and your ‘wounded status”, then what else would we expect?
Maybe he came down with Type 1 BRMS.
BRMS = Bert Ruiz Malaria Syndrome.
There were reasons behind the requirement to take the orange and white bombers. Even if they did give a raging case of the trots.
Same for those little iodine pills or whatever it was we put in a canteen of rice paddy water. Either 15 or 30 minutes later and what tasted like warm piss was better than nothing.
Looks like he was sent home on a PEB. Maybe FTS????
Weaksauce this clown is.
Nice scowl. Or is he just constipated?
Still suffering from RVN C-Rat constipation or his War Face?
Your choice.
Lima beans and ham with a can of cheese added and heated over a piece of C-4 wasn’t half bad.
I can’t believe I actually think that. lol
LOL is right.
Sparks? Sparks? Where are you? Here’s another convert to the Ham & MF’ers Lovers Club.
Sparks is the real expert on what to add to the Ham & Lima Bean meal to get that Spice of Life out of them.
But let’s not speak of Ham & MF’ers any longer. I just had a late brunch and want to keep it down.
Forgot that we also added some crackers to the mix.
Too many freaking years ago….wow.
Ham, cheese, and crunched up crackers doesn’t sound too bad. But that would be only after you picked out the MFers one by one and tossed them at least 50 meters away from your AO. God knows not even the rats would eat those Lima Beans, but other creepy crawly types of things would chow down on them. So the further away, the better.
Too much hot sauce.
This dude has C-Ration hoarder written all over him.
That’s why he probably “fell ill” after three months in country. Got his ass stomped by his squad for leaving them with only the Ham&MFr’s and Beef&Shrapnel meals.
But he was there for Tet of 68, so I won’t beat up on him too bad. I’ll leave that to his fellow Marines.
Ratfucker.
Some of that stuff was left over from WWII and Korea. At some point, it’s WAY past its expiration date, especially canned meat. Hell, if I’d known the crap you guys were eating, I’d have sent stuff over there. Geez!
Well, you do know that after you had eaten your way to the bottom of a C-Ration can, it did say in bold letters “Contents not fit for human consumption.”
I suspected so! Heehee!
Ex-PH2,
True story – when I was a lad, (this would have been 1970 or 71) my mom was a nurse and worked Saturdays and Sundays. Dad – a former Marine – enjoyed cooking, but not necessarily for two rambunctious little boys. So one weekend, he asked if we would like to eat the same food as he ate in the Marines. Needless to say, we were overjoyed at such a prospect and he pulled out two CASES of WWII era (1945 and later dates on the boxes) C-rats. We loved the damn things, though we agreed the spaghetti and meat sauce was a thing of evil. Dad kept the things coming for months until Mom found out and lowered the boom. OTOH, I had developed a definite fondness for ’em that stood me in good stead when I hit basic.
Mike
That’s the reason cat food in a can and some brands of dog food look appealing to the human owners.
How did Mom catch on? Was it the fact that you did not drop a Phil Monkress for two months?
Or that he screamed in agony when he did.
…Mom realized that something wasn’t right when she looked in the fridge on Monday morning and realized most of the groceries she’d bought had been touched. The conversation between my parents wasn’t pretty. Then she started making dinners for Dad to reheat, but since Mom was…a less than able cook…we actually missed the c-rats.
Mike
OMG…Mike you should seriously consider writing that story up and submitting it to the Reader’s Digest for the Humor in Uniform section.
Thanks for the laugh.
As I’ve relayed here before, when I was in high school (1974-75) I was in JROTC and we were doing some sort of exercise at Ft. Benning. We were served C-rations in the field, and I swear to you that the box lid said the stuff I was given was packaged in 1944. Thirty years before I would eat it. It was pretty good, as I recall – at least I didn’t get sick and die, anyway.
The C-rat fruitcake was AWESOME! Right alongside the “green eggs & ham”.
Sardinia, January 1974. I’m sitting on back of a tank, watching a sergeant and lance corporal in heated conversation. Sergeant says, “There’s nothing I can do about it. Go tell the Lieutenant.” Lance comes over to me. “What’s the problem?” “Well, sir, it’s not really a problem, I guess, but these C-rats are older than I am.” I check the date, and sure enough, they were dated 1952, three years before he was born. “You don’t have to eat them if you don’t want to,” I tell him, “but that’s whats for supper tonight.” We finish eating and go to sleep under the tanks. That night I wake up around 0300, and proceed to puke my guts out for the next twelve hours. Everybody but me thought it was hilarious.
Sardinia….so…much….cowshit
“Tooker”?
I think they misspelled “Fucker.”
“Poofer.”
Edit, “Fooker.”
Well he DOES have an NDSM and he doesn’t claim to be a POW but beyond that…
Here’s another good example of why the Vietnam Service Medal and the Vietnam Campaign Medal don’t automatically go together on the ribbon rack.
Note the absence of the VCM being awarded on the FOIA.
His boots were only on the ground for about three months in country in RVN. Criteria for awarding the VCM was six months in country, regardless of the fact that he medically evacuated due to illness or injury.
I believe the criteria for the VCM is 181 days in country or greater. The only exception is if killed in action or wounded to the point where one is no longer able to serve, e.g.: losing a limb, going blind / deaf, etc.
So, it’s apparently possible to be a Vietnam Veteran with no VCM, but it’s very much the exception to the rule.
Not so much the exception to the rule.
Lots of veterans out there (mainly Navy and Air Force) have the VSM due to the geographic area of operations rules, i.e. territorial waters on a ship, a flyover or a one time landing in an airplane, temporary duty assignments, etc., but never awarded the VCM to go along with the VSM.
All in all, they are considered Vietnam Veterans. Was just trying to point out that for the Army/Marine in country troops, the two medals don’t necessarily go together all the time.
Not defending the guy, but it is indeed possible to get a purple heart without a combat action ribbon. I knew a Sgt when I was in who got a purple heart after he got hit with shrapnel from IDF as an infantryman, but no CAR. The Marine Corps is very picky when it comes to the CAR and pretty much only awards it if you engaged the enemy with small arms after being engaged (unless you’re an officer in which case you can use the O network to hook yourself up). On top of that, commanders often have their own criteria for getting a CAR and make it stricter for enlisted because they can. Lots of Marines running around with combat deployments under their belt and no CAR.
This is very true. We were always told that the standard for the CAR was receiving and effectively returning fire.
The principal requirement is that the personnel must have been in a ground or surface combat fire-fight, or action during which they were under enemy fire, and that their performance under fire must have been satisfactory.
Also NSW Operations were contact may take place.
Part of lists of criteria for awarding of CAR as noted by NESSSEABEECPO ….”Also NSW Operations were contact MAY (emphasis is mine) take place.”
Makes perfect sense. Spec-ops guys thrive on being able to get in and out without engaging the enemy, even though there is a high danger of engagement if discovered.
Withholding a CAR from a spec-ops unit that sits in the middle of an Enemy AO reporting intel while within small arms range for days without getting compromised is like punishing competence.
Yep, that is specified in the instruction and mentions special operations. Makes sense to me if you can get in and out with out firing a shot you deserve it.
Spelled it wrong meant where.
Not defending him but I believe the CAR was instituted in 1969. If he got out in 1968 it would make sense for him not to have one
Something caught my eye the first time I looked at his picture. Took a while but finally came to mind. Any Marine is going to notice at the very top of his hair line is the bottom leading edge of some sort of white hat/cover. Too bad the picture did not show his head in complete.
It(the cap)is probably a VFW Post Garrison Cap.
But it sure does appear to be smooshed down as the bottom edge is riding right in the middle of his forehead/brow.
ImHO, this guy is the ultimate attention WHORE. In other words, Tooker is a Hooker.
Give the dude a break, them there CAR ribbons are expensive AND he’d even have to buy a new ribbon bar. That stuff doesn’t grow on trees you know.
Is it just me?
He looks like he either fired one off and it blew back on him, or he’s about to sneeze. Can’t figure out which.
Nah, that’s his “I wasn’t first in the freebie chow line” look.
Missed the fake ice cream cups, huh? Such a shame!
Fecking shame…Feck, meet this fecker…he appears your fecking type!
Since the various services have somewhat different award policies, I decided to look up the Navy/USMC award criteria for the ribbons this tool is wearing. BLUF: he rates the VSM and NDSM. He may rate the MCGCM and CAR, depending on his conduct while serving and whether or not he saw ground combat while in the RVN. He almost certainly does not rate the PH and VCM.
Cnsa is correct above; the CAR was created by the SECNAV on 17 February 1969. It was retroactive to 1 March 1961. So even if this tool rates a CAR (entirely possible due to his unit of assignment and being there during Tet 1968), his records would only show a CAR if he’d gone through the process of having it added post-discharge. I’m guessing he never did that.
Regarding his alleged VCM: if he’d been MEDEVACed due to being “wounded or injured in hostile action” prior to 6 months in-country, he’d rate the VCM under SECNAVINST 1650.1H, para 723.1.a(1). However, getting MEDEVACed prior to 6 months service due to illness or non-combat injuries doesn’t qualify. And if he was injured or wounded due to hostile action, he should have a PH – which isn’t in his official records on-file at NPRC. So it seems pretty clear that his MEDEVAC wasn’t due to wounds/injuries incurred as the direct result of hostile action.
His MCGCM may or may not be legit. 1650.1H, para 420.3.b.(1)(d) allows first award of the MCGCM to those discharged for physical disability, provided conduct requirements are met. He thus might or might not rate it depending on the precise reason for his discharge and his conduct while serving. Given his discharge as an E3 with a bit over a year, I’d guess he probably does rate it if his discharge was due to physical disability.
My guess is that he “self-awarded” himself the PH, MCGCM, and VCM on the basis of “I deserved these because I got sick/hurt and was MEDEVACed, then got medically discharged”. He may legitimately rate the CAR and MCGCM. But the PH and VCM appear to be bullsh!t.
The guy served his country. Whatever happened to him, whatever cased his illness, that’s not something you can control. But claiming a PH and GCM with three years of service? No.