Skip to content
  • Home
  • Valor Vultures
  • TAH FNG – Read before you post
  • Feel Good Stories
  • Military Records
  • Contact us

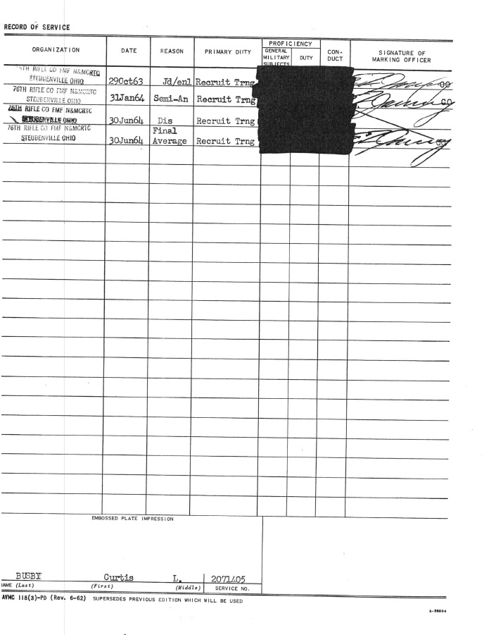
Curtis Lyle Busby aka Chris Hayden FOIA Assignment 1963-64

You might also like

Saudis use vets as pawns to fight JASTA

Are “Doomsday Preppers” Just Paranoid Nuts?

SGT Derek Calderon; indicted drug dealer

Leave a Reply Cancel reply

Your email address will not be published. Required fields are marked *

Recent Posts

  • Biased predominantly leftist Washington DC grand jury failed to indict Senator Mark Kelly
  • The Butt of the Joke?
  • Daily FGS
  • Staff Sergeant Awarded for Heroism
  • Tuesday with the Libs of Tik Tok
  1. Marine0331 on Biased predominantly leftist Washington DC grand jury failed to indict Senator Mark Kelly
  2. Hack Stone on The Butt of the Joke?
  3. Hack Stone on The Butt of the Joke?
  4. Hack Stone on The Butt of the Joke?
  5. Marine0331 on Biased predominantly leftist Washington DC grand jury failed to indict Senator Mark Kelly
  6. Toxic Deplorable B Woodman on Biased predominantly leftist Washington DC grand jury failed to indict Senator Mark Kelly
  7. RGR 4-78 on The Butt of the Joke?
  8. Jay on The Butt of the Joke?
  9. HT3 on Biased predominantly leftist Washington DC grand jury failed to indict Senator Mark Kelly
  10. Amateur Historian on Biased predominantly leftist Washington DC grand jury failed to indict Senator Mark Kelly
Copyright © 2026 This ain't Hell.
  • About Us
  • Contact us
  • Privacy Policy
  • How to Be a Good Phony Soldier
  • About Us
  • Contact us
  • Privacy Policy
  • How to Be a Good Phony Soldier
  • Home
  • Valor Vultures
  • TAH FNG – Read before you post
  • Feel Good Stories
  • Military Records
  • Contact us
  • Home
  • Valor Vultures
  • TAH FNG – Read before you post
  • Feel Good Stories
  • Military Records
  • Contact us